A Backtested Approach to Using Bollinger Bands in Options Trading - Part 1
Published on July 19, 2024 | 17 min read(Last updated on March 5, 2026)
Table of Contents
Reviewed by Leav Graves
Table of Contents
UPDATE: we updated this study from 2023 to 2025 to include two additional years of data to our research. The dataset enlargement confirmed the same conclusions that we drew during the first version of the analysis
All traders know that, in general, a few rules will hold true no matter what the market climate is (especially when using the Bollinger Band indicator or similar tools). For instance, stocks move in trends and recurrently reach an overbought or oversold level. This can be measured using technical analysis as well, just think, again, about Bollinger Bands. Even following wild periods, a stock price cannot close outside of its Bollinger Bands for too long. Can you use this trend to your advantage by adopting a trading style relying on Bollinger Bands? Our research suggests you can. This is the first of a 2-part series that will give you a new strategy to trade options. We'll begin with a general backtest of our approach and, in the second part, introduce two predefined scans to identify opportunities quickly.
KEY TAKEAWAYS
- Financial markets follow trends, but any stock or ETF can be overbought or oversold at some point. Bollinger bands can be used to identify these conditions. In these cases, it is fair to assume a price growth or decline will pause or revert due to a Bollinger Band breakout.
- A popular technical indicator to measure oversold and overbought situations is the Bollinger Bands (BB), created by John Bollinger. And we can see a tendency to return inside the bands after trading outside them for a given number of days
- We have backtested this approach using various asset groups and noticed a pattern emerges for stocks trading outside the BB for 2-3 days.
Background on the Bollinger Bands Technical Indicator for Your Trading Strategy
Before looking into our intuition and how we performed our backtesting analysis, we should make sure everyone is familiar with Bollinger Bands. These are lines plotted two standard deviations away from a simple moving average of a stock's price.
The concept of standard deviation is key here; it measures how much a stock's price varies from its average, which helps in understanding volatility. Bollinger Bands help traders spot when a stock's price might be too high (overbought) or too low (oversold), based on its current position relative to these bands. This can signal potential buy or sell opportunities, for instance during a Bollinger Band squeeze.
Here is how they look, for instance, on Apple (AAPL):

As you can see, the stock price tends to move between these two blue bands, which are the upper and lower bands. Sometimes, however, the price shows a strong upward or downward movement that pushes it outside this range. Let’s hold on to that thought, as this is the core of what we want to test today.
Our Intuition as Traders on How to Use Bollinger Bands [Breakout Strategy]
If you are a trader, we're sure that you have gained a certain knowledge and confidence when reading a given indicator.
In our case, as option traders, we have a simple idea: after a stock spends a few days trading outside the Bollinger Bands, it's likely to move back towards the average, re-entering the bands. This is because stocks, or any financial asset, tend to revert to the mean (this is why moving averages are so popular in technical analysis). It’s a bit like assuming that a “natural state” exists on the markets, with trend periods and moments in which a stock price reverts to a mean value. In this sense, Bollinger Bands, created by John Bollinger, are a way to measure (and profit from) this behavior over time.
To test this theory, we selected three different groups for our analysis:
- ETFs tracking indexes and stock sectors
- The top stocks by market capitalization
- ETFs focused on commodities.
We then looked at how the prices of these assets moved from 2010 to 2025. Our goal was to see if there were consistent patterns that supported our intuition. By doing this, we hoped to not only validate our strategy but also to refine it, making our future trades more informed and, hopefully, more profitable by using the Bollinger Bands to generate trading signals. What did we find? Traders can use the Bollinger Bands trading strategy in different ways. Let us tell you more about it in the next section.
Results and Analysis to Validate Your Bollinger Band Strategy
In general, we obtained quite solid and encouraging findings from our backtested approach to using Bollinger Bands for predicting stock movements. For all our tests, we distinguished between bull and bear market scenarios, using the SPY’s position relative to its 200-day moving average as a proxy, much like John Bollinger in the 1980s.
Each analysis included a 75% confidence interval to provide a robust measure of our observations alongside a benchmark of average daily movements for each asset group under normal conditions.
Main Results with a Focus on Options Trading
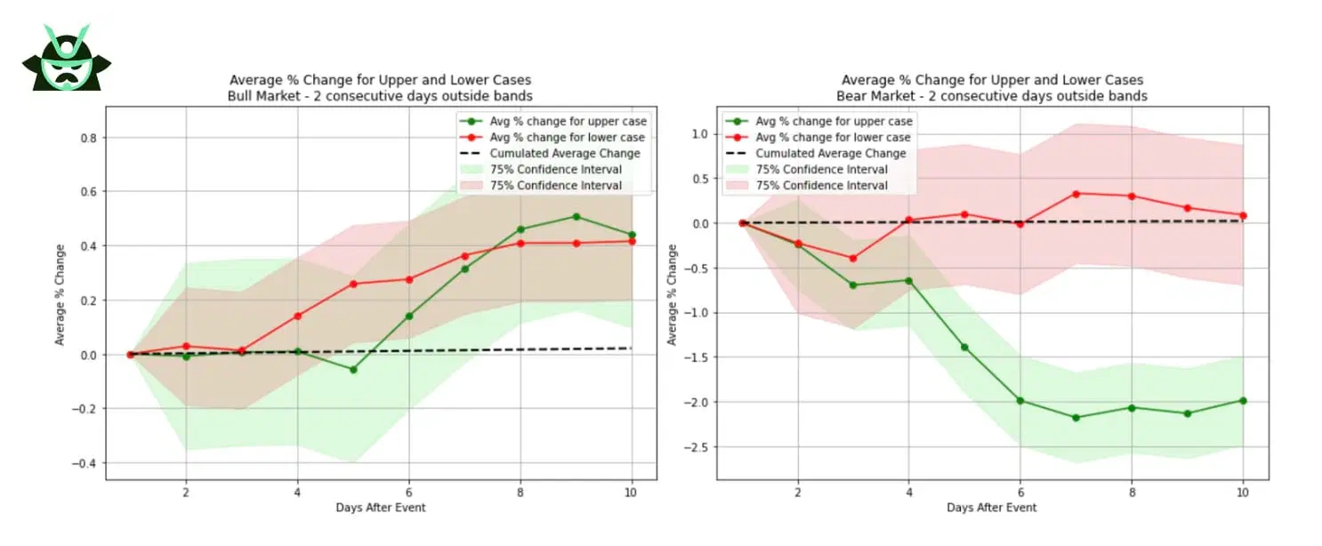
Our results, particularly over 2-3 days, have been promising. Let us look at all the different asset classes we analyzed through the lens of a Bollinger Bands trading strategy to identify potential trading opportunities. To help you read our charts, let us give you a quick example:

There are different elements to know to read the chart. First of all, look at the title.
- This chart shows the average percentage change for cases in which an asset class's price closed above the upper Bollinger Band or below the lower band for two days in a row.
- The "Bull Market" indication is meant to tell you that, here, we’re simply looking at those cases that happened when the market was in a bullish phase. There is no clear definition of what makes a market a bull market, so we’re using this proxy: we are in a bull market whenever the SPY ETF is trading above its 200-day moving average. Note that our results will look both at the bull and at the bear market (with the latter corresponding to periods where the SPY ETF traded below its 200-day MA).
Now, look at the elements of the chart (the little legend on the side will help you):
- The dark red line shows the average daily movement of the asset class after two consecutive days trading below the lower Bollinger Band.
- The dark green line shows the average daily movement of the asset class after two consecutive days trading above the upper Bollinger Band.
- The two light-red and light-green areas give you the statistical confidence interval of the analysis. Specifically, from a mathematical point of view, these areas include the 75% confidence interval for a stock movement, which may indicate potential trading opportunities.
- Last but not least, we’ve added a black dashed line that simply tells you, disregarding the Bollinger Band indicator, what is the cumulated average movement of an asset class price, which can be identified using this technical analysis tool. This information merely serves as a benchmark so that you can compare what happens after an asset class trades outside the bands with what happens on a “normal” day.
So, take a look at the image above. This is how you should read, for instance, the chart that shows Bollinger band breakout strategy in action:
- On average, a stock trading for 2 consecutive days above the upper Bollinger band will find itself close to +0.15% 6 days later (compared to the benchmark: above +0.3%) with potential trading opportunities..
- On average, a stock trading for 2 consecutive days below the lower band will find itself close to +0.7% 6 days later. This suggests potential trading opportunities far from the middle band. (compared to the benchmark: above +0.3%).
ETFs Trading for 2 Days Outside the Bollinger Bands
In the case of ETFs that track indexes and stock sectors, when these assets closed for two consecutive days below the lower Bollinger Band during a bull market phase, they tended to move upward shortly after.
This pattern suggests a mean-reversion tendency within this timeframe, which is a core aspect of Bollinger Bands trading strategy. However, in bear market conditions, although a similar initial recovery was observed, it often faded within two weeks, indicating weaker resilience against downward trends. You can see these results for ETFs trading below the lower Bollinger band for 2 days in a row by looking at the red cases in the two charts below (bull market on the left, bear market on the right):

Interestingly, when ETFs closed above the upper Bollinger Band for two consecutive days, the outcomes varied by market condition. In bull markets, price increases typically stalled in the following two weeks, whereas in bear markets, ETFs demonstrated surprising resilience, often continuing to rise (as you can see from the green part of the charts above). This resilience is an important factor for investors, especially those considering ETFs for their relatively stable performance.
ETFs Trading for 3 Days Outside the Bollinger Bands
For scenarios extending to three days outside the Bollinger Bands, our observations were largely consistent with the two-day cases, as you can see below:

Quick recoveries were noted for ETFs dipping below the lower band for three days in bull markets (red plot on the left), but such recoveries were short-lived in bear markets (red plot on the right). This illustrates the importance of bands to trade in different market conditions. Conversely, ETF stability after three days above the upper band remained apparent across both market conditions (green plot).
So, here is a quick summary of what we observed on ETFs breaking outside the Bollinger Bands:
Scenario | Above Upper Band - 2 trading days | Below Upper Band - 2 days | Above Upper Band - 3 days | Below Upper Band - 3 days |
Bull Market | Initial bearish trend followed by sideways movement | Steady growth | Sideways movement | Steady growth |
Bear Market | Steady growth | Initial rebound, followed by return to the downward trend | Sideways movement | Initial rebound, followed by return to the downward trend |
Stocks Trading for 2 Days Outside the Bollinger Bands
What about individual stocks? Let's take a look at the top stocks by market cap. Our findings here mirror those we saw with ETFs.
In the bull market phase, top stocks typically moved upward after closing for two days below the lower Bollinger band, a trend highlighted by the red case on the left of our chart below:

However, during bear market conditions, although a similar initial uptick occurred, these recoveries were generally weaker and often dissipated within two weeks (red plot on the right). Interestingly, when top stocks closed above the upper Bollinger band for two consecutive days (the green area), the bull market scenario showed a modest but noticeable price increase in the following two weeks, while bearish conditions displayed a similar pattern of behavior.
Stocks Trading for 3 Days Outside the Bollinger Bands
For stocks remaining outside the bands for three days, the trends were consistent with the two-day scenario, invoking the principles of Bollinger Bands trading strategy:

We notice a quick rebound from below the lower band in bull markets (red plot on the left), but only a temporary recovery in bear markets that precedes a return to a downtrend (red plot on the right). The middle band may act as a resistance level during such downtrends. We should also highlight a similar stability compared to the 2-day analysis after three strongly bullish days (green plot on both sides).
Therefore, we can summarize what happened to stocks trading outside the Bollinger Bands as follows:
Scenario | Above Upper Band - 2 trading days | Below Upper Band - 2 days | Above Upper Band - 3 days | Below Upper Band - 3 days |
Bull Market | Slow growth | Steady growth | Slow growth | Steady growth |
Bear Market | Slow growth | Initial rebound, followed by return to the downward trend | Initial sideways movement followed by steady growth | Initial rebound, followed by return to the downward trend |
Commodities ETFs Trading for 2 Days Outside the Bollinger Bands
The reason why we included different asset classes and markets was that we knew that, eventually, something odd would emerge, particularly with commodities. ETFs focused on commodities displayed a very distinct behavior from stocks and indexes.
In the scenario where these ETFs spent 2 consecutive days outside the lower Bollinger bands, they tended to move upward in both bullish and bearish market phases, which aligns with general expectations, as you see below in the red cases:

However, the upper band scenario (the green plot in the chart above) revealed a pattern that was harder to justify. During bullish market phases (refer to the chart on the left), commodity-based ETFs showed resilience despite a wide confidence interval, and this can be particularly beneficial within a Bollinger Bands trading strategy. In bearish conditions (look at the right-hand chart), there was a noticeable average decline in prices, although occurrences were rare.
Commodities ETFs Trading for 2 Days Outside the Bollinger Bands
The 3-day analysis echoed the findings we obtained on the 2-day scenario. In general, because the lines and the confidence intervals appear to be “mashed together,” it is hard to see a unique edge in this type of strategy for commodities on the bull market (on the left). The bear market case (on the right) looks clearer, as you see below:

However, consider that, in this case, we began dealing with limited events but consistent behaviors observed. We were not surprised: commodities like oil and gold tend to move upwards strongly during a bearish period when things go south for financial markets, offering trading opportunities. From 2010 to 2025, this only happened a few times ("luckily for the world economy," we may add).
The commodities case can be summarized by a simple table using a Bollinger Band strategy:
Scenario | Above Upper Band - 2 trading days | Below Upper Band - 2 trading days | Above Upper Band - 3 trading days | Below Upper Band - 3 trading days |
Bull Market | Sideways movement followed by uncertain growth with no edge | Sideways movement followed by uncertain growth with no edge | Sideways movement followed by uncertain growth with no edge | Sideways movement followed by uncertain growth with no edge |
Bear Market | Steady decline | Sideways movement with no edge | Steady decline, but with limited cases to analyze | Steady growth |
Support Tests and Nuances for Bollinger Band Trading
We did not limit ourselves to the 2-3 day cases and chose to test for a wider range of scenarios.
In the 1-day analysis, ETFs exhibited a pattern similar to the 2-day and 3-day scenarios with an emphasis on the upper or lower band, as you can see below, indicating potential trade signals.

A break below the lower Bollinger Band typically led to a clear recovery in a bullish market and a weak recovery followed by a continuation of the downward trend in a bearish market. When breaking above the upper band, a sideways movement was generally observed in the bullish scenario, while the bearish scenario showed an interesting uptrend.
Top stocks mirrored ETFs' behavior following a lower break (see image below), showing upward movement in both market conditions.

However, after an upper break, they initially stabilized before trending upwards. Commodities-based ETFs seemed largely unaffected by their position relative to the Bollinger Bands, moving up or down based on the overarching market scenario rather than their recent breakout or breakdown, as you can see below:

The 4-day analysis revealed a decrease in the number of events, as cases of assets closing for four consecutive days outside of the Bollinger Bands are relatively rare. Bollinger band trading history concurs with this rarity. ETFs maintained a similar pattern to shorter duration events but with less statistical significance due to fewer occurrences, as you can see below:

Specifically, after closing below the lower band for four straight days, prices tended to rise in a bullish market but showed weaker movements in a bearish market. The scenario of breaking above the upper band led to mildly sideways or even bearish movements in both market contexts.
Data for top stocks became noisier (just look at the chart below to understand), particularly in bear markets where the confidence intervals for upper and lower break scenarios overlapped significantly.

For commodities ETFs, the outcomes were less predictable due to the extremely low number of events, as you can see here:

For completeness, we extended our backtesting to include 5 and 6 consecutive days outside the Bollinger Bands. And remember, this is not an orcale: Bollinger Bands are a technical analysis tool to generate trading signals, nothing more than that. As anticipated, these extended scenarios offered even less statistical significance. Therefore, it seems that 2-3 days outside the Bollinger bands is our sweet spot for trading, keep that in mind as this is our most important result.
Can We Trade this Idea? Building a Strategy Using Bollinger Bands
Yes, we can trade this idea using a breakout strategy. Consider this: our findings show that prices staying above the upper Bollinger band for 3 days often signal a halt in bullish trends, with a likelihood of moving lower in the next two weeks. Similarly, prices lingering below the lower Bollinger band for the same duration tend to rise subsequently. With these insights, you have a few trading ideas at your disposal.
Firstly, think about leveraging a credit strategy. This approach gives you a higher chance of profit compared to the initial options pricing, though be mindful that the average loss might exceed the average gain.
On the other hand, a debit strategy using Bollinger Bands could offer more favorable average profits in comparison to losses. Despite the options’ price suggesting a certain probability of profit, our analysis indicates the actual odds are better.
When considering specific moves, selling puts or spreads or buying calls or spreads are viable options. However, based on our research, employing broken butterflies (such as those that you may find on our options screener) could align with a breakout strategy and present an even more effective tactic. Why? Because broken butterflies give you a few advantages, such as:
- You will need a relatively short movement in the stock price to earn a profit
- These strategies typically have a very high profit ratio
- You can build a broken butterfly to completely eliminate either the upward or downward risks (depending if you use calls or puts), which is a part of a comprehensive trading strategy.
- In the worst-case scenario, your losses are generally quite manageable if you employ a strategy using John Bollinger's methods (note that this is not how Bollinger originally used the indicator, it is more of our reintepretation of his work with an idea on options trading).
For those eager to delve deeper into how to apply these strategies, stay tuned. Our Part 2 article on how to trade Bollinger Bands effectively will introduce two predefined scans to help identify such market opportunities. Plus, we’ll provide a method for you to apply our mathematical model in backtesting any ticker by yourself, which may include various Bollinger Band settings.
AUTHOR
Gianluca LonginottiFinance Writer - Traders EducationGianluca Longinotti is an experienced trader, advisor, and financial analyst with over a decade of professional experience in the banking sector, trading, and investment services.
REVIEWER
Leav GravesCEOLeav Graves is the founder and CEO of Option Samurai and a licensed investment professional with over 19 years of trading experience, including working professionally through the 2008 financial crisis.